Toggle navigation
BAND1.ORG
試卷下載
香港試卷
新加坡試卷
上載試卷
新會員登記
登出
關於我們
聯絡我們
條款
作文技法
會員登入
各科
中
英
數
科
他
全部年級
P1
P2
P3
P4
P5
P6
F1
F2
F3
F4
F5
F6
全部學期
學期1
學期2
學期3
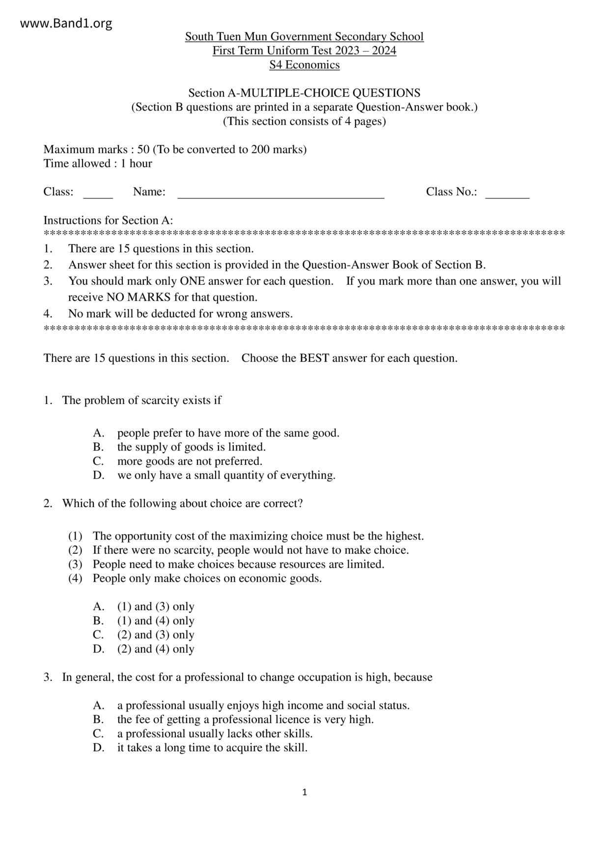
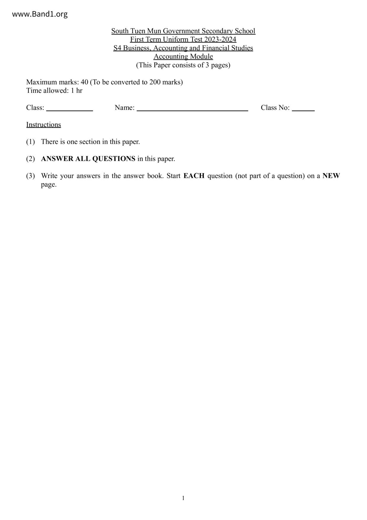
香港 中四 其他 (HK F4 other subjects) 試卷 pdf
中四 經濟 聖士提反書院
中四 經濟 聖士提反書院
中四 經濟 聖士提反書院
中四 地理 聖母書院
中四 地理 皇仁書院
中四 經濟 觀塘瑪利諾書院
中四 會計 皇仁書院
中四 西史 聖公會林護紀念中學
中四 地理 浸信會呂明才中學
中四 地理 浸信會呂明才中學
中四 經濟 皇仁書院
中四 地理 浸信會呂明才中學
中四 地理 浸信會呂明才中學
中四 地理 庇理羅士女子中學
中四 地理 庇理羅士女子中學
中四 經濟 協恩中學
中四 經濟 協恩中學
中四 地理 浸信會呂明才中學
中四 地理 浸信會呂明才中學
中四 地理 浸信會呂明才中學
中四 會計 (F4 Accounting)
中四 會計 陳瑞祺(喇沙)書院
中四 地理 協恩中學
中四 會計 協恩中學
中四 中史 協恩中學
中四 經濟 協恩中學
中四 (F4 Business)
中四 經濟 浸信會呂明才中學
中四 中史 皇仁書院
中四 經濟 沙田蘇浙公學
中四 西史 協恩中學
中四 地理 浸信會呂明才中學
中四 西史 皇仁書院
中四 經濟 庇理羅士女子中學
中四 地理 旅港開平商會中學
中四 經濟 皇仁書院
中四 西史 協恩中學
中四 地理 皇仁書院
中四 中史 協恩中學
中四 中史 皇仁書院
中四 中史 庇理羅士女子中學
中四 民生書院
中四 經濟 浸信會呂明才中學
中四 聖保羅書院
中四 寶血會上智英文書院
中四 會計 庇理羅士女子中學
中四 會計 旅港開平商會中學
中四 會計 庇理羅士女子中學
中四 西史 旅港開平商會中學
中四 中史 庇理羅士女子中學
中四 聖保羅書院
中四 聖保羅書院
中四 西史 皇仁書院
中四 協恩中學
中四 會計 庇理羅士女子中學
中四 地理 浸信會呂明才中學
中四 地理 庇理羅士女子中學
中四 經濟 聖嘉勒女書院
中四 會計 基督教香港信義會心誠中學
中四 會計 基督教香港信義會心誠中學
中四 聖公會陳融中學
中四 地理 南屯門官立中學
中四 會計 南屯門官立中學
中四 會計 南屯門官立中學
中四 中史 南屯門官立中學
中四 南屯門官立中學
中四 南屯門官立中學
中四 南屯門官立中學
中四 南屯門官立中學
中四 經濟 南屯門官立中學
中四 經濟 南屯門官立中學
中四 經濟 南屯門官立中學
中四 中華基督教會燕京書院
中四 其他科目 庇理羅士女子中學
中四 其他科目 庇理羅士女子中學
中四 中史 庇理羅士女子中學
中四 浸信會呂明才中學
中四 浸信會呂明才中學
中四 會計 基督教香港信義會心誠中學
中四 將軍澳官立小學
中四 慈幼英文學校