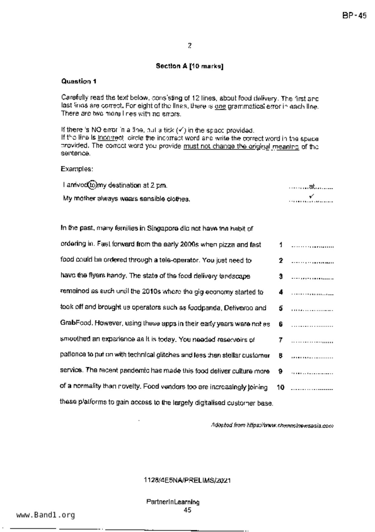
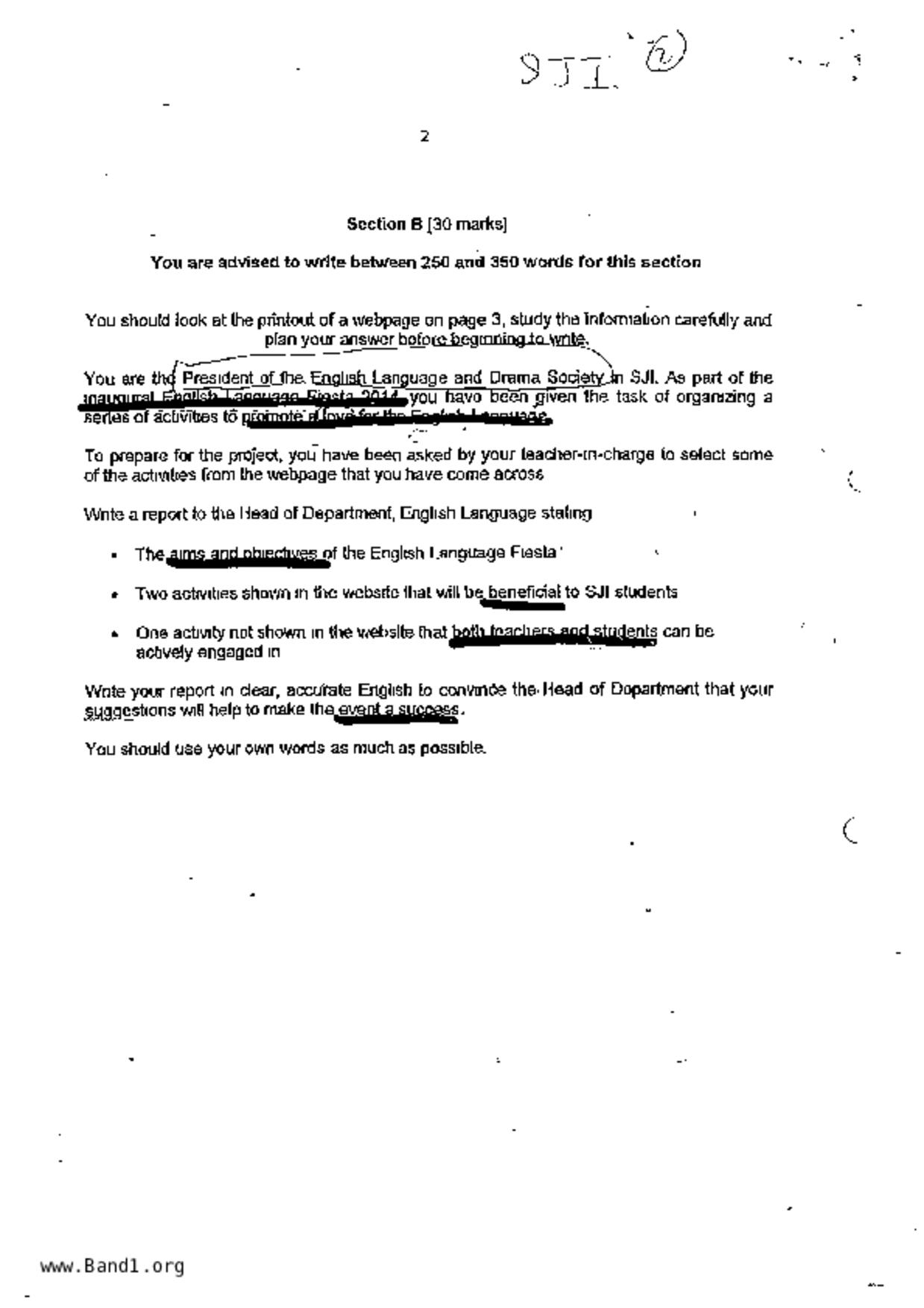
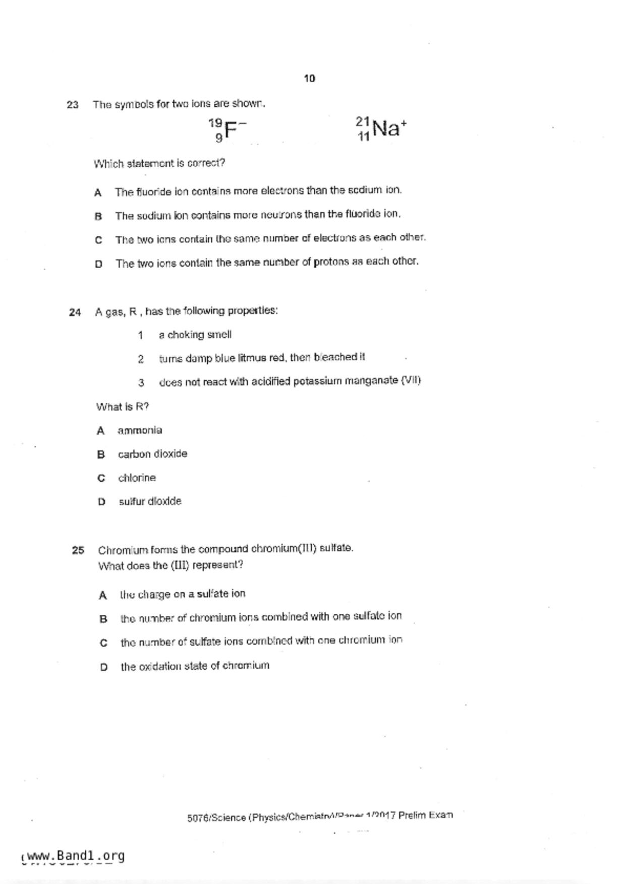
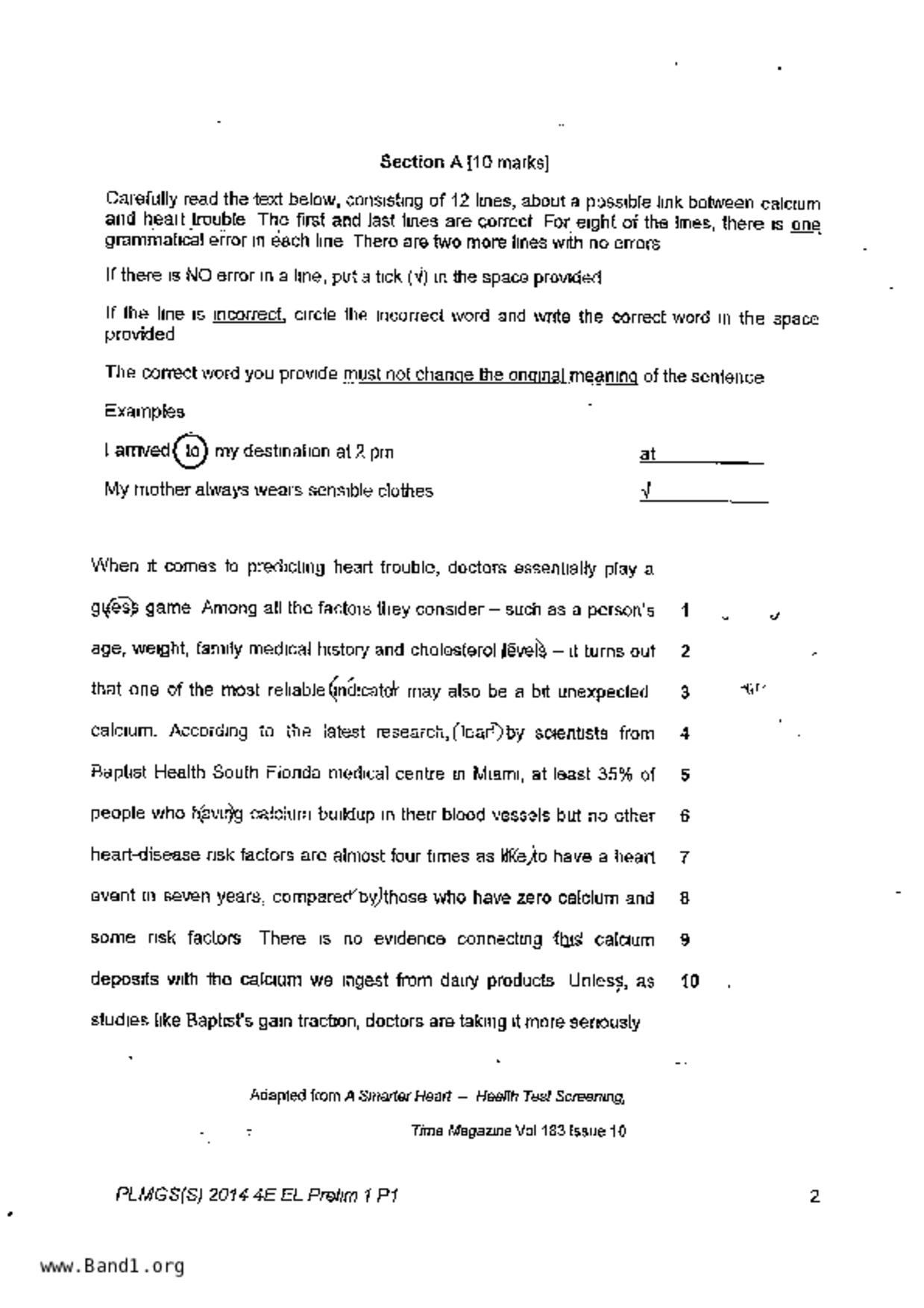
Toggle navigation
BAND1.ORG
試卷下載
香港試卷
新加坡試卷
上載試卷
新會員登記
登出
關於我們
聯絡我們
條款
作文技法
會員登入
全科
中
英
數
科
全部年級
P1
P2
P3
P4
P5
P6
S1
S2
S3
S4
S5
新加坡 中五 各科 (SG S5) 試卷 pdf
中五 附加數 Ahmad Ibrahim Secondary
中五 數學 Ahmad Ibrahim Secondary
中五 化學 CHIJ Secondary
中五 物理 CHIJ Secondary
中五 附加數 Bedok South Secondary
中五 附加數 Chung Cheng High (Yishun)
中五 附加數 Dunman Secondary
中五 數學 Chung Cheng High (Yishun)
中五 數學 Dunman Secondary
中五 數學 Gan Eng Seng
中五 數學 Presbyterian High
中五 化學 Fuhua Secondary
中五 化學 Maris Stella High
中五 化學 Tanjong Katong Girls
中五 物理 Whitley Secondary
中五 物理 Zhonghua Secondary
中五 附加數 Anglo Chinese School (Barker Road)
中五 數學 Anderson Secondary
中五 生物 Anglo Chinese School (Independent)
中五 化學 Anderson Secondary
中五 物理 Catholic High
中五 生物 Kuo Chuan Presbyterian
中五 會計 Ahmad Ibrahim Secondary
中五 生物 Assumption English
中五 生物 Bendemeer Secondary
中五 生物 Christ Church Secondary
中五 生物 Dunman Secondary
中五 生物 Fuhua Secondary
中五 生物 Jurongville Secondary
中五 生物 Mayflower Secondary
中五 生物 St. Gabriel's Secondary
中五 生物 Tanjong Katong Girls
中五 生物 Yio Chu Kang Secondary
中五 生物 Yuying Secondary
中五 生物 Mayflower Secondary
中五 生物 Paya Lebar Methodist Girls
中五 生物 Assumption English
中五 生物 Beatty Secondary
中五 生物 Geylang Methodist
中五 生物 Serangoon Secondary
中五 生物 Yio Chu Kang Secondary
中五 生物 Yishun Secondary
中五 會計 Anglo Chinese School (Barker Road)
中五 會計 Bukit Panjang Government High
中五 會計 CHIJ Secondary
中五 會計 Clementi Town Secondary
中五 會計 Damai Secondary
中五 會計 Deyi Secondary
中五 會計 Evergreen Secondary
中五 會計 Fuhua Secondary
中五 會計 Geylang Methodist
中五 會計 Hillgrove Secondary
中五 會計 Meridian Secondary
中五 會計 Zhonghua Secondary
中五 附加數 Canberra Secondary
中五 附加數 Cedar Girls
中五 附加數 Fairfield Methodist
中五 附加數 Gan Eng Seng
中五 附加數 Geylang Methodist
中五 附加數 Hua Yi Secondary
中五 附加數 Juying Secondary
中五 附加數 Kent Ridge Secondary
中五 附加數 Mayflower Secondary
中五 附加數 Methodist Girls
中五 附加數 Nan Chiau
中五 附加數 Northland Secondary
中五 附加數 Orchid Park Secondary
中五 附加數 Presbyterian High
中五 附加數 Queensway Secondary
中五 附加數 Swiss Cottage Secondary
中五 附加數 Tampines Secondary
中五 附加數 Xinmin Secondary
中五 附加數 Zhonghua Secondary
中五 數學 Anglo Chinese School (Barker Road)
中五 數學 Anglo Chinese School (Independent)
中五 數學 Bendemeer Secondary
中五 數學 Crescent Girls
中五 數學 Geylang Methodist
中五 數學 Greenridge Secondary
中五 數學 Hua Yi Secondary
中五 數學 Jurongville Secondary
中五 數學 North Vista Secondary
中五 數學 Orchid Park Secondary
中五 數學 Outram Secondary
中五 數學 St. Joseph's Institution
中五 數學 Tanjong Katong Girls
中五 數學 Zhonghua Secondary
中五 化學 Catholic High
中五 化學 CHIJ Secondary
中五 化學 Crescent Girls
中五 化學 Fuhua Secondary
中五 化學 Gan Eng Seng
中五 化學 Greendale Secondary
中五 化學 Kuo Chuan Presbyterian
中五 化學 Maris Stella High
中五 化學 Methodist Girls
中五 化學 Nanyang Girls
中五 化學 Paya Lebar Methodist Girls
中五 化學 Queenstown Secondary
中五 化學 Sengkang Secondary
中五 化學 Singapore Chinese Girls
中五 化學 Swiss Cottage Secondary
中五 化學 Xinmin Secondary
中五 物理 Cedar Girls
中五 物理 CHIJ St. Nicholas Girls
中五 物理 Christ Church Secondary
中五 物理 Chung Cheng High
中五 物理 Commonwealth Secondary
中五 物理 Crescent Girls
中五 物理 Dunman Secondary
中五 物理 Fuhua Secondary
中五 物理 Hua Yi Secondary
中五 物理 Jurongville Secondary
中五 物理 Kuo Chuan Presbyterian
中五 物理 Maris Stella High
中五 物理 Ngee Ann Secondary
中五 物理 Pasir Ris Secondary
中五 物理 Punggol Secondary
中五 物理 Tanjong Katong Girls
中五 附加數 Anglican High
中五 數學 Ahmad Ibrahim Secondary
中五 英文 Anderson Secondary
中五 化學 Anglo Chinese School
中五 物理 Anglo Chinese School
中五 英文 Cedar Girls
中五 英文 Chung Cheng High
中五 英文 Fairfield Methodist
中五 英文 Holy Innocents
中五 英文 Nan Chiau High
中五 附加數 Bedok View Secondary
中五 附加數 Greendale Secondary
中五 附加數 Hua Yi Secondary
中五 附加數 Junyuan Secondary
中五 附加數 Jurong Secondary
中五 附加數 Mayflower Secondary
中五 附加數 Montfort Secondary
中五 附加數 Ngee Ann Secondary
中五 附加數 Pasir Ris Secondary
中五 附加數 Zhenghua Secondary
中五 附加數 Ahmad Ibrahim Secondary
中五 附加數 Anglo Chinese School
中五 附加數 Cedar Girls
中五 附加數 Chung Cheng High
中五 附加數 Cresent Girls
中五 附加數 Fairfield Methodist
中五 附加數 Hillgrove Secondary
中五 附加數 Methodist Girls
中五 附加數 Nan Chiau High
中五 附加數 Presbyterian High
中五 附加數 Tanjong Katong Girls
中五 附加數 Woodgrove Secondary
中五 附加數 Xinmin Secondary
中五 數學 Anglican High
中五 數學 Nan Hua High School
中五 數學 Ngee Ann Secondary
中五 數學 North Vista Secondary
中五 數學 St. Anthony's Canossian Secondary
中五 數學 Anglo Chinese School
中五 數學 CHIJ St. Nicholas Girls
中五 數學 Methodist Girls
中五 數學 Fairfield Methodist
中五 數學 Mayflower Secondary
中五 數學 Montfort Secondary
中五 數學 Presbyterian High
中五 數學 Tampines Secondary
中五 數學 Tanjong Katong Girls
中五 數學 Yishun Secondary
中五 數學 Zhenghua Secondary
中五 化學 Broadrick Secondary
中五 化學 Catholic High
中五 化學 East Spring Secondary
中五 化學 Greendale Secondary
中五 化學 Jurongville Secondary
中五 化學 Pasir Ris Secondary
中五 化學 Seng Kang-Secondary
中五 物理 Beatty Secondary
中五 物理 Dunearn Secondary
中五 物理 Greendale Secondary
中五 物理 North Vista Secondary
中五 物理 Queensway Secondary
中五 物理 Victoria School
中五 物理 Yishun Secondary
中五 物理 Zhenghua Secondary
中五 附加數 Fuhua Secondary
中五 數學 Cedar Girls
中五 生物 Bendemeer Secondary
中五 化學 Broadrick Secondary
中五 物理 Broadrick Secondary
中五 化學 Bedok Green Secondary
中五 物理 Bukit Batok Secondary
中五 化學 Broadrick Secondary
中五 化學 Christ Church Secondary
中五 化學 Chua Chu Kang Secondary
中五 化學 Compassvale Secondary
中五 化學 Ping Yi Secondary
中五 化學 Seng Kang Secondary
中五 化學 Serangoon Secondary
中五 物理 Christ Church Secondary
中五 物理 Chua Chu Kang Secondary
中五 物理 Compassvale Secondary
中五 物理 Edgefield Secondary
中五 物理 Masiling Secondary
中五 物理 Serangoon Secondary
中五 物理 Yuying Secondary
中五 附加數 Gan Eng Seng
中五 附加數 Hougang Secondary
中五 附加數 Hua Yi Secondary
中五 附加數 Jurong Secondary
中五 附加數 Mayflower Secondary
中五 附加數 Naval Base Secondary
中五 附加數 North Vista Secondary
中五 附加數 Peirce Secondary
中五 附加數 Presbyterian High
中五 附加數 Tanjong Katong Girls
中五 附加數 Victoria School
中五 數學 Hua Yi Secondary
中五 數學 Jurong Secondary
中五 數學 Kent Ridge Secondary
中五 數學 Mayflower Secondary
中五 數學 Nan Hua
中五 數學 Presbyterian High
中五 數學 Queenstown Secondary
中五 數學 St Gabriels Secondary
中五 數學 Tanjong Katong Girls
中五 生物 Bukit Batok Secondary
中五 生物 Christ Church Secondary
中五 生物 Compassvale Secondary
中五 生物 Dunearn Secondary
中五 生物 Fuchun Secondary
中五 生物 Jurongville Secondary
中五 生物 Riverside Secondary
中五 化學 Christ Church Secondary
中五 化學 Chua Chu Kang Secondary
中五 化學 Greendale Secondary
中五 化學 Guangyang Secondary
中五 化學 Jurongville Secondary
中五 化學 Serangoon Secondary
中五 化學 Yishun Secondary
中五 物理 Bukit Batok Secondary
中五 物理 Compassvale Secondary
中五 物理 Fuhua Secondary
中五 物理 Peirce Secondary
中五 物理 Queensway Secondary
中五 物理 Whitley Secondary
中五 物理 Yuying Secondary
中五 附加數 Anderson Secondary
中五 數學 Anglican High
中五 英文 Admiralty Secondary
中五 生物 Chua Chu Kang Secondary
中五 化學 Admiralty Secondary
中五 物理 Assumption English
中五 化學 Beatty Secondary
中五 物理 Admiralty Secondary
中五 附加數 Anglican High
中五 附加數 Catholic High
中五 附加數 Cedar Girls
中五 附加數 CHIJ St. Nicholas Girls
中五 附加數 Chung Cheng High (Main)
中五 附加數 Methodist Girls
中五 附加數 Nan Chiau High
中五 附加數 Singapore Chinese Girls
中五 附加數 St. Margarets Secondary
中五 附加數 Tanjong Katong Secondary
中五 附加數 Zhonghua Secondary
中五 數學 Canberra Secondary
中五 數學 Catholic High
中五 數學 Cedar Girls
中五 數學 Chung Cheng High (Main)
中五 數學 Junyuan Secondary
中五 數學 Methodist Girls
中五 數學 Nan Chiau High
中五 數學 Presbyterian High
中五 數學 Singapore Chinese Girls
中五 數學 Tanjong Katong Secondary
中五 數學 Zhonghua Secondary
中五 英文 Assumption English
中五 英文 Bedok View Secondary
中五 英文 Boon Lay Secondary
中五 英文 Clementi Town Secondary
中五 英文 East Spring Secondary
中五 英文 Geylang Methodist
中五 英文 Hua Yi Secondary
中五 英文 Maris Stella
中五 英文 North Vista Secondary
中五 英文 Northland Secondary
中五 英文 Presbyterian High
中五 英文 School of Science and Technology
中五 英文 St. Anthony's Canossian
中五 英文 Xinmin Secondary
中五 生物 Fuhua Secondary
中五 生物 Junyuan Secondary
中五 生物 Mayflower Secondary
中五 生物 Queenstown Secondary
中五 生物 Singapore Sports School
中五 生物 Tampines Secondary
中五 生物 Yishun Town Secondary
中五 化學 Beatty Secondary
中五 化學 Broadrick Secondary
中五 化學 CHIJ Secondary
中五 化學 Commonwealth Secondary
中五 化學 East Spring Secondary
中五 化學 Fuhua Secondary
中五 化學 Junyuan Secondary
中五 化學 Ngee Ann Secondary
中五 化學 Peirce Secondary
中五 化學 Queenstown Secondary
中五 化學 Sengkang Secondary
中五 物理 Beatty Secondary
中五 物理 Bukit View Secondary
中五 物理 Hillgrove Secondary
中五 物理 Junyuan Secondary
中五 物理 Peirce Secondary
中五 物理 Yishun Secondary
中五 物理 Zhonghua Secondary
中五 化學 Bendemeer Secondary
中五 化學 Fuchun Secondary
中五 化學 Hillgrove Secondary
中五 化學 Huayi Secondary
中五 化學 Peirce Secondary
中五 化學 Queenstown Secondary
中五 化學 Zhonghua Secondary
中五 物理 Bendemeer Secondary
中五 物理 Broadrick Secondary
中五 物理 Huayi Secondary
中五 物理 Junyuan Secondary
中五 物理 Peirce Secondary
中五 物理 Queensway Secondary
中五 物理 Yuying Secondary
中五 附加數 Anglican High
中五 附加數 Bukit Panjang Government.
中五 附加數 Cedar Girls' Secondary
中五 附加數 CHIJ Secondary
中五 附加數 CHIJ St. Nicholas Girls
中五 附加數 Chung Cheng High
中五 附加數 Crescent Girls
中五 附加數 Methodist Girls
中五 附加數 Nan Hua
中五 附加數 School of Science and Technology
中五 附加數 St. Margaret's Secondary
中五 附加數 Zhonghua Secondary
中五 數學 Anglican High
中五 數學 Bukit Panjang Government
中五 數學 CHIJ Secondary
中五 數學 CHIJ St. Nicholas Girls
中五 數學 Chung Cheng High
中五 數學 Crescent Girls
中五 數學 Methodist Girls
中五 數學 Nan Hua
中五 數學 School of Science and Technology
中五 數學 St. Margaret's Secondary
中五 數學 Zhonghua Secondary
中五 英文 Bukit Panjang Government High
中五 英文 Catholic High
中五 英文 Cedar Girls Secondary
中五 英文 Greenridge Secondary
中五 英文 Nan Hua
中五 英文 Paya Lebar Methodist Girls
中五 英文 Singapore Chinese Girls
中五 英文 St. Anthonys Canossian
中五 英文 Tanjong Katong Secondary
中五 生物 Fuchun Secondary
中五 生物 Jurongville Secondary
中五 生物 Sengkang Secondary
中五 生物 West Spring Secondary
中五 生物 Woodgrove Secondary
中五 生物 Yishun Secondary
中五 生物 Yishun Town Secondary
中五 生物 Beatty Secondary
中五 生物 Bedok South Secondary
中五 生物 Chua Chu Kang Secondary
中五 生物 Commonwealth Secondary
中五 生物 Dunearn Secondary
中五 生物 Geylang Methodist
中五 生物 Maris Stella
中五 生物 Mayflower Secondary
中五 生物 Ngee Ann Secondary
中五 生物 Presbyterian High
中五 生物 St. Anthony Canossian
中五 化學 Fuchun Secondary
中五 化學 Junyuan Secondary
中五 化學 Peirce Secondary
中五 化學 Sengkang Secondary
中五 化學 Tampines Secondary
中五 化學 West Spring Secondary
中五 化學 Woodgrove Secondary
中五 化學 Ahmad Ibrahim Secondary
中五 化學 Assumption English
中五 化學 Beatty Secondary
中五 化學 Bedok Green Secondary
中五 化學 Bukit Batok Secondary
中五 化學 Chua Chu Kang Secondary
中五 化學 Chung Cheng High (Yishun)
中五 化學 Damai Secondary
中五 化學 Ngee Ann Secondary
中五 化學 Pasir Ris Secondary
中五 化學 Serangoon Garden Secondary
中五 化學 Singapore Chinese Girls
中五 化學 Unity Secondary
中五 化學 Zhonghua Secondary
中五 物理 Bukit Batok Secondary
中五 物理 Chung Cheng High (Yishun)
中五 物理 Commonwealth Secondary
中五 物理 Fuhua Secondary
中五 物理 Gan Eng Seng
中五 物理 Geylang Methodist
中五 物理 Maris Stella
中五 物理 Ngee Ann Secondary
中五 物理 Northland Secondary
中五 物理 Paya Lebar Methodist Girls
中五 物理 St Joseph's Institution
中五 物理 West Spring Secondary (Paper 1 Only)
中五 物理 Zhonghua Secondary
中五 化學 Canberra Secondary
中五 化學 Chua Chu Kang Secondary
中五 化學 East Spring Secondary
中五 化學 Fuchun Secondary
中五 化學 Junyuan Secondary
中五 化學 Sengkang Secondary
中五 化學 West Spring Secondary
中五 物理 Canberra Secondary
中五 物理 Damai Secondary
中五 物理 Fuhua Secondary
中五 物理 Gan Eng Seng
中五 物理 Geylang Methodist
中五 物理 Maris Stella
中五 物理 Paya Lebar Methodist Girls
中五 物理 Pierce Secondary
中五 物理 Presbyterian High
中五 物理 Yishun Town Secondary
中五 物理 Zhonghua Secondary
中五 附加數 Anderson Secondary
中五 數學 Anderson Secondary
中五 英文 Assumption English
中五 生物 Assumption English
中五 化學 East Spring Secondary
中五 物理 Anglo Chinese (Barker Road)
中五 化學 Bukit Batok Secondary
中五 物理 Beatty Secondary
中五 英文 Kuo Chuan Presbyterian
中五 生物 Anglo Chinese (Barker Road)
中五 附加數 Anglican High
中五 數學 Beatty Secondary
中五 英文 Assumption English
中五 Anderson Secondary
中五 生物 Assumption English
中五 化學 Anderson Secondary
中五 物理 Admiralty Secondary
中五 生物 Bartley Secondary
中五 化學 Ahmad Ibrahim Secondary
中五 物理 Assumption English
中五 Ang Mo Kio Secondary
中五 Anglican High
中五 Bukit Batok Secondary
中五 Bukit View Secondary
中五 CHIJ
中五 Chung Cheng High
中五 Clementi Town Secondary
中五 Commonwealth Secondary
中五 Fairfield Methodist
中五 Jurong Secondary
中五 附加數 Fairfield Methodist
中五 附加數 Greendale Secondary
中五 附加數 Nan Hua
中五 附加數 Peicai Secondary
中五 附加數 St Andrew's Secondary
中五 附加數 St. Margaret's Secondary
中五 附加數 West Spring Secondary
中五 附加數 Commonwealth Secondary
中五 附加數 Maris Stella High
中五 附加數 Mayflower Secondary
中五 附加數 Nan Chiau High
中五 附加數 St. Margaret's Secondary
中五 數學 Bowen Secondary
中五 數學 CHIJ St. Theresa's
中五 數學 Fairfield Methodist
中五 數學 Hillgrove Secondary
中五 數學 Mayflower Secondary
中五 數學 West Spring Secondary
中五 數學 Yuying Secondary
中五 數學 Ang Mo Kio Secondary
中五 數學 Commonwealth Secondary
中五 數學 Nan Chiau High
中五 數學 St. Margaret's Secondary
中五 英文 Bukit Merah Secondary
中五 英文 Bukit Panjang Government High
中五 英文 CHIJ
中五 英文 Christ Church Secondary
中五 英文 Compassvale Secondary
中五 英文 Kent Ridge Secondary
中五 英文 St. Margaret's Secondary
中五 英文 Tanglin Secondary
中五 英文 Woodlands Ring Secondary
中五 英文 Yuan Ching Secondary
中五 英文 Zhenghua Secondary
中五 生物 Bartley Secondary
中五 生物 Bendemeer Secondary
中五 生物 Broadrick Secondary
中五 生物 CHIJ Katong
中五 生物 Dunman Secondary
中五 生物 Jurongville Secondary
中五 生物 Mayflower Secondary
中五 生物 Peirce Secondary
中五 生物 Queenstown Secondary
中五 生物 Unity Secondary
中五 生物 Zhonghua Secondary
中五 化學 Assumption English
中五 化學 Chua Chu Kang Secondary
中五 化學 Fuhua Secondary
中五 化學 Geylang Methodist
中五 化學 Mayflower Secondary
中五 化學 Queenstown Secondary
中五 化學 Seng Kang Secondary
中五 化學 Teck Whye Secondary
中五 化學 Unity Secondary
中五 化學 Yishun Secondary
中五 化學 Zhonghua Secondary
中五 物理 Bartley Secondary
中五 物理 Bendemeer Secondary
中五 物理 CHIJ St Nicholas
中五 物理 Dunman High
中五 物理 Methodist Girls
中五 物理 North Vista Secondary
中五 物理 Singapore Chinese Girls
中五 物理 Tanjong Katong Girls
中五 物理 Unity Secondary
中五 物理 Whitley Secondary
中五 生物 Broadrick Secondary
中五 生物 Changkat Changi Secondary
中五 生物 Orchid Park Secondary
中五 生物 Pasir Ris Crest Secondary
中五 生物 Woodlands Secondary
中五 生物 Yuhua Secondary
中五 化學 Assumption English
中五 化學 Bartley Secondary
中五 化學 Bendemeer Secondary
中五 化學 Changkat Changi Secondary
中五 化學 Fuchun Secondary
中五 化學 Greenridge Secondary
中五 化學 Pasir Ris Secondary
中五 化學 Peirce Secondary
中五 化學 Singapore Sports
中五 化學 Yuhua Secondary
中五 物理 Bartley Secondary
中五 物理 Bedok South Secondary
中五 物理 Broadrick Secondary
中五 物理 Changkat Changi Secondary
中五 物理 Damai Secondary
中五 物理 Gan Eng Seng
中五 物理 Jurongville Secondary
中五 物理 Northland Secondary
中五 物理 Unity Secondary
中五 物理 Yuhua Secondary
中五 附加數 Bukit Panjang Government
中五 附加數 Cedar Girls
中五 附加數 CHIJ Katong Convent
中五 附加數 CHIJ St. Nicholas Girls
中五 附加數 Chung Cheng High
中五 附加數 Commonwealth Secondary
中五 附加數 Crescent Girls
中五 附加數 Methodist Girls
中五 附加數 Nan Chiau High
中五 附加數 School of Science and Technology
中五 附加數 Singapore Chinese Girls
中五 附加數 Tanjong Katong Secondary
中五 附加數 Yishun Town Secondary
中五 附加數 Zhonghua Secondary
中五 數學 Bukit Panjang Government
中五 數學 Cedar Girls
中五 數學 CHIJ Katong Convent
中五 數學 CHIJ St. Nicholas Girls
中五 數學 Chung Cheng High
中五 數學 Commonwealth Secondary
中五 數學 Crescent Girls
中五 數學 Methodist Girls
中五 數學 Nan Chiau High
中五 數學 School of Science and Technology
中五 數學 Singapore Chinese Girls
中五 數學 Tanjong Katong Secondary
中五 數學 Yishun Town Secondary
中五 數學 Zhonghua Secondary
中五 生物 Catholic High
中五 生物 Dunearn Secondary
中五 生物 Fuhua Secondary
中五 生物 Geylang Methodist
中五 生物 Junyuan Secondary
中五 生物 Pasir Ris Crest Secondary
中五 生物 West Spring Secondary
中五 生物 Zhonghua Secondary
中五 化學 Bukit Batok Secondary
中五 化學 Geylang Methodist
中五 化學 Jurong West Secondary
中五 化學 Seng Kang Secondary
中五 化學 CHIJ Katong Convent
中五 化學 Gan Eng Seng
中五 化學 Hua Yi Secondary
中五 化學 Mayflower Secondary
中五 化學 Temasek Secondary
中五 物理 Bukit Batok Secondary
中五 物理 Chung Cheng High (Yishun)
中五 物理 Commonwealth Secondary
中五 物理 Dunman Secondary
中五 物理 Geylang Methodist
中五 物理 Kranji Secondary
中五 物理 Pasir Ris Secondary
中五 物理 Peirce Secondary
中五 物理 Queensway Secondary
中五 物理 St. Patrick's School
中五 物理 Unity Secondary
中五 化學 Bedok South Secondary
中五 化學 Bendemeer Secondary
中五 化學 Bukit Batok Secondary
中五 化學 Geylang Methodist
中五 化學 CHIJ Katong
中五 化學 Mayflower Secondary
中五 化學 Pasir Ris Crest Secondary
中五 化學 Pasir Ris Secondary
中五 化學 West Spring Secondary
中五 物理 Bukit Batok Secondary
中五 物理 Chung Cheng Yishun
中五 物理 Kranji Secondary
中五 物理 Maris Stella
中五 物理 North Vista Secondary
中五 物理 Pasir Ris Secondary
中五 物理 Queensway Secondary
中五 物理 West Spring Secondary
中五 物理 Yuan Ching Secondary
中五 附加數 Anglican High
中五 數學 Anglican High
中五 生物 Ahmad Ibrahim Secondary
中五 化學 Bendemeer Secondary
中五 物理 Ahmad Ibrahim Secondary
中五 化學 Bedok Green Secondary
中五 物理 Assumption English
中五 生物 Kuo Chuan Presbyterian
中五 附加數 Anglo Chinese
中五 數學 Anglo Chinese School
中五 英文 Anglican High
中五 Anderson Secondary
中五 地理 Ahmad Ibrahim Secondary
中五 生物 Anderson Secondary
中五 化學 Anglo Chinese School
中五 物理 Ahmad Ibrahim Secondary
中五 化學 Admiralty Secondary
中五 物理 Bartley Secondary
中五 地理 Anglo Chinese School (Barker Road)
中五 附加數 Bendemeer Secondary
中五 附加數 CHIJ
中五 附加數 Nan Chiau High
中五 附加數 Serangoon Garden Secondary
中五 附加數 Tanjong Katong Secondary
中五 附加數 Xinmin Secondary
中五 附加數 Yishun Town Secondary
中五 附加數 CHIJ St. Theresa's Convent
中五 附加數 Gan Eng Seng
中五 附加數 Geylang Methodist
中五 數學 Bendemeer Secondary
中五 數學 CHIJ Katong Convent
中五 數學 Geylang Methodist School
中五 數學 Holy Innocents School
中五 數學 Junyuan Secondary
中五 數學 Manjusri Secondary
中五 數學 Serangoon Garden Secondary
中五 數學 Tanjong Katong Secondary
中五 數學 Xinmin Secondary
中五 數學 Yusof Ishak Secondary
中五 數學 Chung Cheng High
中五 數學 Dunearn Secondary
中五 數學 Fuhua Secondary
中五 數學 Junyuan Secondary
中五 數學 Jurong West Secondary
中五 數學 Methodist Girls
中五 數學 North Vista Secondary
中五 數學 Pei Hwa
中五 數學 Tampines Secondary
中五 數學 Victoria School
中五 英文 Anglo Chinese School
中五 英文 Bukit Panjang Government High
中五 英文 Cedar Girls' Secondary
中五 英文 Chij St Nicholas Girls
中五 英文 Nan Chiau High School
中五 英文 Singapore Chinese Girls
中五 英文 Victoria School
中五 英文 Xinmin Secondary
中五 英文 Bukit Panjang Government High
中五 英文 Chij St Nicholas Girls
中五 Anglican High
中五 Bukit Panjang Government High
中五 CHIJ Katong Convent
中五 CHIJ St. Nicholas
中五 Chung Cheng High
中五 Crescent Girls
中五 Singapore Chinese Girls
中五 Unity Secondary
中五 地理 Anglican High School
中五 地理 Anglo Chinese School (Independent)
中五 地理 Bedok View Secondary
中五 地理 Fairfield Methodist
中五 地理 Geylang Methodist
中五 地理 Maris Stella High School
中五 地理 St. Hilda's Secondary
中五 地理 St. Joseph's Institution
中五 地理 Temasek Secondary
中五 地理 Chung Cheng high School
中五 地理 Crescent Girls
中五 地理 Edgefield Secondary
中五 生物 Ang Mo Kio Secondary
中五 生物 Anglo Chinese School
中五 生物 CHIJ Katong Convent
中五 生物 Fuhua Secondary
中五 生物 Geylang Methodist School
中五 生物 Maris Stella High
中五 生物 Mayflower Secondary
中五 生物 Ngee Ann Secondary
中五 生物 Pei Hwa Secondary
中五 生物 Singapore Sports School
中五 生物 Xinmin Secondary
中五 化學 Bendemeer Secondary
中五 化學 Bukit Batok Secondary
中五 化學 CHIJ Katong Convent
中五 化學 CHIJ St. Theresa's Convent
中五 化學 Fuhua Secondary
中五 化學 Geylang Methodist School
中五 化學 St. Gabriel's Secondary
中五 化學 St. Joseph's Institution
中五 化學 St. Patrick's School
中五 化學 Xinmin Secondary
中五 化學 Zhonghua Secondary
中五 物理 Anglo Chinese School
中五 物理 Bukit Batok Secondary
中五 物理 Bukit Merah Secondary
中五 物理 Chong Boon Secondary
中五 物理 Fuhua Secondary
中五 物理 Nan Chiau High School
中五 物理 St. Gabriel's Secondary
中五 物理 St. Patrick's School
中五 物理 Xinmin Secondary
中五 物理 Yuying Secondary
中五 物理 Zhonghua Secondary
中五 化學 Canberra Secondary
中五 化學 CHIJ Katong Convent
中五 化學 Evergreen Secondary
中五 化學 Fuchun Secondary
中五 化學 Fuhua Secondary
中五 化學 Geylang Methodist
中五 化學 Greenridge Secondary
中五 化學 Maris Stella High
中五 化學 Serangoon Secondary
中五 化學 St Hilda's Secondary
中五 化學 Xinmin Secondary
中五 物理 Bedok South Secondary
中五 物理 Bendemeer Secondary
中五 物理 Chong Boon Secondary
中五 物理 Fuhua Secondary
中五 物理 Geylang Methodist
中五 物理 Hillgrove Secondary
中五 物理 Maris Stella High
中五 物理 Mayflower Secondary
中五 物理 Queenstown Secondary
中五 物理 Yuying Secondary
中五 物理 Zhonghua Secondary
中五 附加數 Crescent Girls
中五 附加數 Holy Innocents
中五 附加數 Methodists Girls School
中五 附加數 Singapore Chinese Girls School
中五 附加數 St. Margaret's Secondary
中五 附加數 Tanjong Katong Girls
中五 附加數 Victoria School
中五 附加數 Yuying Secondary
中五 數學 Anglican High School
中五 數學 Anglo Chinese School
中五 數學 Balestier Hill Secondary
中五 數學 Bedok View Secondary
中五 數學 Catholic High School
中五 數學 Cedar Girls
中五 數學 Chij St Nicholas Girls
中五 數學 Chong Boon Secondary
中五 數學 Chung Cheng High School
中五 數學 Crescent Girls
中五 數學 Dunman Secondary School
中五 數學 Gan Eng Seng School
中五 數學 Holy Innocents
中五 數學 Kranji Secondary School
中五 數學 Maris Stella High School
中五 數學 Methodist Girls School
中五 數學 Montfort Secondary
中五 數學 Nan Chiau High School
中五 數學 Nan Hua High School
中五 數學 Nanyang Girls
中五 數學 Raffles Institution
中五 數學 School of Science & Technology
中五 數學 St. Margaret's Secondary School
中五 數學 Tanjong Katong Girls School
中五 數學 Victoria School
中五 數學 Chij Katong Convent
中五 數學 Paya Lebar Methodist Girls
中五 數學 St. Joseph's Institution
中五 數學 WoodGrove Secondary
中五 化學 Bedok Green Secondary
中五 化學 Bendemeer Secondary
中五 化學 Chong Boon Secondary
中五 化學 Fuhua Secondary
中五 化學 Gan Eng Seng
中五 化學 Geylang Methodist
中五 化學 Jurong West Secondary
中五 化學 Kranji Secondary
中五 化學 Macpherson Secondary
中五 化學 Manjusri Secondary
中五 化學 Maris Stella High
中五 化學 Mayflower Secondary
中五 化學 New Town Secondary
中五 化學 Regent Secondary
中五 化學 St. Patrick's School
中五 化學 Xinmin Secondary
中五 中文 Fairfield Secondary
中五 中文 Juying Secondary
中五 中文 Kranji Secondary
中五 中文 Northbrooks Secondary
中五 中文 Pasir Ris Secondary
中五 中文 Temasek Secondary
中五 中文 Fuchun Secondary
中五 英文 Commonwealth Secondary
中五 英文 Dunman High School
中五 英文 Methodist Girls
中五 英文 Singapore Chinese Girls
中五 英文 St. Gabriel's Secondary
中五 英文 St. Joseph's Institution
中五 英文 Tanjong Katong Girls
中五 英文 Xinmin Secondary
中五 英文 Zhonghua Secondary
中五 西史 Chij St Joseph's Convent
中五 西史 Crescent Girls
中五 西史 Maris Stella High
中五 西史 Nan Hua High
中五 西史 Ngee Ann Secondary
中五 西史 Singapore Chinese Girls
中五 西史 Yishun Town Secondary
中五 西史 Anglican High School
中五 西史 Crescent Girls
中五 西史 Nan Hua High
中五 Chua Chu Kang Secondary
中五 Crescent Girls
中五 Anderson Secondary
中五 Commonwealth Secondary
中五 Crescent Girls
中五 West Spring Secondary
中五 Crescent Girls
中五 Dunman High School
中五 Fairfield Methodist
中五 Kranji Secondary
中五 Nanyang Girls
中五 Ngee Ann Secondary
中五 Pasir Ris Secondary
中五 Temasek Secondary
中五 Victoria School
中五 生物 Chij Katong Convent
中五 生物 Chij St. Theresa's Convent
中五 生物 Chung Cheng High School
中五 生物 Gan Eng Seng School
中五 生物 Hai Sing Catholic
中五 生物 Maris Stella High
中五 生物 Methodist Girls
中五 生物 Temasek Secondary
中五 生物 Zhonghua Secondary
中五 生物 Anglo Chinese School
中五 化學 Anglo Chinese School
中五 化學 Assumption English
中五 化學 Bendemeer Secondary
中五 化學 Bukit Batok Secondary
中五 化學 Catholic High
中五 化學 Chij St. Nicholas Girls
中五 化學 Chong Boon Secondary
中五 化學 Chung Cheng High School (Yishun)
中五 化學 Crescent Girls
中五 化學 Fairfield Methodist
中五 化學 Methodist Girls
中五 化學 Presbyterian High School
中五 化學 Singapore Chinese Girls
中五 化學 St. Joseph's Institution
中五 化學 Tanjong Katong Girls' School
中五 化學 Victoria School
中五 物理 Anderson Secondary
中五 物理 Anglo Chinese School
中五 物理 Bendemeer Secondary
中五 物理 Bukit Batok Secondary
中五 物理 Catholic High
中五 物理 Cedar Girls
中五 物理 Chong Boon Secondary
中五 物理 Chung Cheng High
中五 物理 Clementi Town Secondary
中五 物理 Commonwealth Secondary
中五 物理 Dunman Secondary
中五 物理 Gan Eng Seng
中五 物理 Geylang Methodist
中五 物理 Hill Grove Secondary
中五 物理 Jurong West Secondary
中五 物理 Manjusri Secondary
中五 物理 Maris Stella High
中五 物理 Methodist Girls
中五 物理 Nan Chiau High
中五 物理 Queenstown Secondary
中五 物理 Regent Secondary
中五 物理 Serangoon Garden Secondary
中五 物理 Singapore Chinese Girls
中五 物理 St Joseph's Institution
中五 物理 St. Patrick's School
中五 物理 Tampines Secondary
中五 物理 Tanjong Katong Girls
中五 物理 Xinmin Secondary
中五 物理 Yishun Town Secondary
中五 物理 Zhonghua Secondary
中五 Anglo Chinese School
中五 Bukit Panjang Government
中五 Chua Chu Kang Secondary
中五 Chung Cheng High
中五 Fuhua Secondary
中五 Geylang Methodist
中五 Jurong Secondary
中五 Kent Ridge Secondary
中五 Naval Base Secondary
中五 Punggol Secondary
中五 Singapore Chinese Girls
中五 St. Hilda's Secondary
中五 St. Margaret's Secondary
中五 Zhenghua Secondary
中五 Fuhua Secondary
中五 Hua Yi Secondary
中五 Macpherson Secondary
中五 地理 Chij Katong Convent
中五 地理 CHIJ St Joseph's Convent
中五 地理 Crescent Girls
中五 地理 Fairfield Methodist
中五 地理 Geylang Methodist
中五 地理 Maris Stella High
中五 地理 St Andrew's Secondary
中五 地理 St. Hilda's Secondary
中五 地理 Yishun Town Secondary
中五 地理 Zhonghua Secondary
中五 地理 CHIJ St Joseph's Convent
中五 地理 Clementi Town Secondary
中五 地理 St Andrew's Secondary
中五 附加數 Bukit Batok Secondary
中五 數學 Ang Mo Kio Secondary
中五 化學 Anglo Chinese School
中五 中文 Chung Cheng High School
中五 英文 CHIJ St Nicholas
中五 西史 Bukit Panjang Government
中五 Anglican High School
中五 Chung Cheng High School
中五 生物 Catholic High School
中五 化學 Anderson Secondary
中五 物理 Ahmad Ibrahim Secondary
中五 Anglican High School
中五 地理 Bukit Panjang Government
中五 物理 CHIJ Secondary
中五 生物 Kuo Chuan Presbyterian
中五 附加數 Anderson
中五 數學 Anderson Secondary
中五 英文 Anderson Secondary
中五 化學 Anglo Chinese School
中五 物理 Anderson Secondary
中五 物理 Anglo Chinese School
中五 地理 Crescent Girls
中五 英文 Anglo Chinese School (Barker Road)
中五 附加數 Anglican High
中五 附加數 Anglo Chinese School
中五 附加數 Catholic High
中五 附加數 Chij St. Joseph's Convent
中五 附加數 Chung Cheng High
中五 附加數 Deyi
中五 附加數 Fairfield Methodist
中五 附加數 Holy Innocents
中五 附加數 Nanyang Girls
中五 附加數 Paya Lebar Methodist Girls
中五 附加數 Swiss Cottage
中五 附加數 Tanjong Katong
中五 附加數 Temasek
中五 附加數 Victoria School
中五 數學 Anglo Chinese School
中五 數學 Beatty Secondary
中五 數學 Bowen Secondary
中五 數學 Catholic High
中五 數學 Chung Cheng High
中五 數學 Crescent Girls
中五 數學 Fairfield Methodist
中五 數學 Holy Innocents
中五 數學 Nanyang Girls
中五 數學 Swiss Cottage
中五 數學 Tanjong Katong
中五 數學 Victoria
中五 英文 Anglo Chinese School (Independent)
中五 英文 Dunman High School
中五 英文 Ngee Ann Secondary
中五 英文 Paya Lebar Methodist Girls
中五 英文 School of Science & Technology
中五 英文 Singapore Chinese Girls' School
中五 英文 St. Margaret's
中五 英文 Bukit Panjang Government
中五 英文 Clementi Town Secondary
中五 英文 Tanjong Katong Girls
中五 化學 Catholic High
中五 化學 Crescent Girls
中五 化學 Gan Eng Seng
中五 化學 Maris Stella
中五 化學 MGS
中五 化學 Nan Chiau
中五 化學 Singapore Chinese Girls
中五 化學 Swiss Cottage
中五 化學 Zhonghua
中五 物理 Chung Cheng High
中五 物理 Commonwealth Secondary
中五 物理 Gan Eng Seng School
中五 物理 Geylang Methodist
中五 物理 Hua Yi Secondary
中五 物理 Maris Stella
中五 物理 Methodist Girls School
中五 物理 Nan Chiau High School
中五 物理 Pasir Ris Secondary
中五 物理 St. Patrick's School
中五 物理 Xinmin Secondary
中五 物理 Chung Cheng High
中五 物理 Commonwealth High
中五 物理 First Toa Payoh Secondary
中五 物理 Gan Eng Seng
中五 物理 Geylang Methodist
中五 物理 Greendale Secondary
中五 物理 Zhonghua Secondary
中五 地理 Maris Stella
中五 地理 MayFlower Secondary
中五 地理 St. Margaret's Secondary
中五 地理 Yishun Town Secondary
中五 地理 Anglican High School
中五 地理 Bukit Panjang Government High
中五 地理 St Andrew's Secondary
中五 附加數 CHIJ St Nicholas Girls
中五 附加數 Chung Cheng High
中五 附加數 Crescent Girls
中五 附加數 Dunman Secondary
中五 附加數 Fairfield Methodist
中五 附加數 Geylang Methodist
中五 附加數 Holy Innocents
中五 附加數 Nan Chiau
中五 附加數 Nan Hua
中五 附加數 Paya Lebar Methodist
中五 附加數 STJI
中五 附加數 Tanjong Katong Secondary
中五 附加數 Victoria
中五 數學 Bowen
中五 數學 Crescent Girls
中五 數學 Fairfield Methodist
中五 數學 Geylang Methodist
中五 數學 Holy Innocent
中五 數學 Nan Chiau
中五 數學 Nan Hua
中五 數學 Paya Lebar Methodist
中五 數學 Singapore Chinese Girls
中五 數學 St Andrew's Secondary
中五 數學 STJI
中五 數學 Tanjong Katong Girls
中五 數學 Victoria
中五 英文 Cedar Girls
中五 英文 Chij St Nicholas
中五 英文 Crescent Girls
中五 英文 Gan Eng Seng
中五 英文 Methodists Girls
中五 英文 Paya Lebar Methodist Girls
中五 英文 Singapore Chinese Girls
中五 英文 SJI
中五 英文 St Andrew Secondary
中五 英文 Victoria
中五 英文 Woodland Secondary
中五 生物 Anglo Chinese
中五 生物 Bukit Panjang Government
中五 生物 Catholic High
中五 生物 Cedar Girls
中五 生物 Chung Cheng High
中五 生物 Crescent Girls
中五 生物 Methodist Girls
中五 生物 Paya Lebar Methodist Girls
中五 生物 Singapore Chinese Girls
中五 生物 Temasek Secondary
中五 生物 Victoria
中五 化學 Catholic High
中五 化學 Crescent Girls
中五 化學 Geylang Methodist
中五 化學 Methodist Girls
中五 化學 Paya Lebar Methodist
中五 化學 Singapore Chinese Girls
中五 化學 St. Joseph's Institution
中五 化學 Swiss Cottage Secondary
中五 化學 Gan Eng Seng
中五 化學 Hai Sing Catholic
中五 化學 Nanyang Girls
中五 化學 Victoria
中五 物理 Catholic High
中五 物理 Commonwealth Secondary
中五 物理 Fairfield Methodist
中五 物理 Gan Eng Seng
中五 物理 Nan Hua
中五 物理 St. Patrick's
中五 物理 Victoria
中五 物理 Yishun Town Secondary
中五 Cedar Girls Secondary
中五 Chong Cheng High
中五 Clementi Town Secondary
中五 Manjusri Secondary
中五 Dunman High
中五 附加數 Anglican High
中五 數學 Anglican High
中五 英文 Anglo Chinese
中五 生物 Anderson Secondary
中五 化學 Anderson Secondary
中五 物理 Anglican High
中五 Anderson Secondary