Toggle navigation
BAND1.ORG
試卷下載
香港試卷
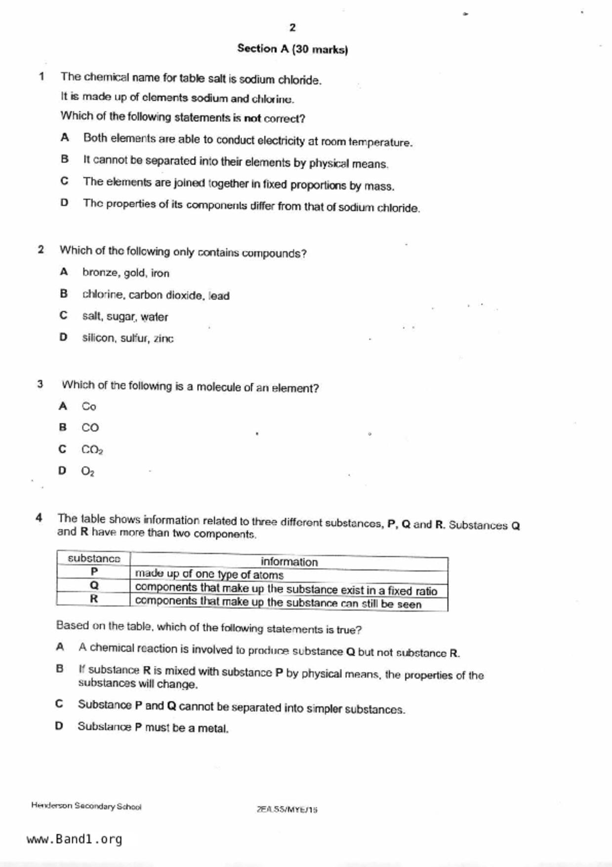
新加坡試卷
上載試卷
新會員登記
登出
關於我們
聯絡我們
條款
作文技法
會員登入
新加坡中二科學試卷
編號:
23270
地區:
新加坡 (SG)
學校:
Henderson Secondary
年級:
Sec 2 Express
科目:
科學 (Science)
年份:
2016-2017
檔案格式:
pdf
頁數:
24
▼ 圖片只作預覽, 如欲下載整份卷, 請按「免費成為會員」 ▼
▲ 圖片只作預覽, 如欲下載整份卷, 請按「免費成為會員」 ▲
新加坡中二科學試卷 PDF
下載試卷只限會員尊享
會員登入
或
免費成為會員